 
 loading
 
  
  
  
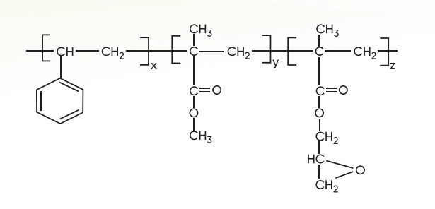
 | ส่วนประกอบเคมี | อีพ็อกซี่พอลิเมอร์ | 
| รูปร่าง | ผงสีขาวหรือเม็ด | 
| อีพ็อกซี่เทียบเท่า | 300-330G/mol | 
| ระเหย | <2% | 
| โครงสร้างผลิตภัณฑ์ |  | 
คุณสมบัติ ของผลิตภัณฑ์
เพิ่มจำนวนเล็กน้อยประสิทธิภาพที่น่าทึ่ง
ความต้านทานความร้อนที่ดีและกระบวนการประมวลผลที่มั่นคง
กลุ่มอีพ็อกซี่มีกิจกรรมที่ดีและอัตราการเปิดแหวนสูง
ปรับปรุงความเข้ากันได้และคุณสมบัติเชิงกล
ฟิลด์แอปพลิเคชันผลิตภัณฑ์
EPO-HCA ™ 3130 เป็นพอลิเมอร์ผสมกับกลุ่มฟังก์ชันอีพ็อกซี่และตัวเร่งความเร็ววงแหวนที่มีวงแหวนที่มีวงแหวนซึ่งใช้เป็นส่วนใหญ่ใช้ในโพลีเอสเตอร์ปรับปรุงโซ่โมเลกุลเรซินลดดัชนีละลายและปรับปรุงประสิทธิภาพการประมวลผล EPO-HCA ™ 3130 มักจะถูกอัดพร้อมกับเรซินโดยใช้สกรูเดี่ยว
เครื่องอัดรีดคู่สกรู ในพลาสติกโพลีเอสเตอร์เช่น PET, PBT, PBAT ปริมาณที่เฉพาะเจาะจงสามารถกำหนดได้ตามตัวบ่งชี้เรซินจริงและข้อกำหนดด้านประสิทธิภาพของผลิตภัณฑ์ จำนวนเงินเพิ่มเติมทั่วไปคือ: 0.2-1.0%
| ส่วนประกอบเคมี | อีพ็อกซี่พอลิเมอร์ | 
| รูปร่าง | ผงสีขาวหรือเม็ด | 
| อีพ็อกซี่เทียบเท่า | 300-330G/mol | 
| ระเหย | <2% | 
| โครงสร้างผลิตภัณฑ์ |  | 
คุณสมบัติ ของผลิตภัณฑ์
เพิ่มจำนวนเล็กน้อยประสิทธิภาพที่น่าทึ่ง
ความต้านทานความร้อนที่ดีและกระบวนการประมวลผลที่มั่นคง
กลุ่มอีพ็อกซี่มีกิจกรรมที่ดีและอัตราการเปิดแหวนสูง
ปรับปรุงความเข้ากันได้และคุณสมบัติเชิงกล
ฟิลด์แอปพลิเคชันผลิตภัณฑ์
EPO-HCA ™ 3130 เป็นพอลิเมอร์ผสมกับกลุ่มฟังก์ชันอีพ็อกซี่และตัวเร่งความเร็ววงแหวนที่มีวงแหวนที่มีวงแหวนซึ่งใช้เป็นส่วนใหญ่ใช้ในโพลีเอสเตอร์ปรับปรุงโซ่โมเลกุลเรซินลดดัชนีละลายและปรับปรุงประสิทธิภาพการประมวลผล EPO-HCA ™ 3130 มักจะถูกอัดพร้อมกับเรซินโดยใช้สกรูเดี่ยว
เครื่องอัดรีดคู่สกรู ในพลาสติกโพลีเอสเตอร์เช่น PET, PBT, PBAT ปริมาณที่เฉพาะเจาะจงสามารถกำหนดได้ตามตัวบ่งชี้เรซินจริงและข้อกำหนดด้านประสิทธิภาพของผลิตภัณฑ์ จำนวนเงินเพิ่มเติมทั่วไปคือ: 0.2-1.0%